ELECTROSTÁTICA
Se denomina electrostática a la especialización de la física centrada en el análisis de los sistemas que forman los cuerpos con carga eléctrica en equilibrio. Estos cuerpos, al tener carga eléctrica, provocan reacciones de rechazo y atracción, generándose los llamados fenómenos electrostáticos.
CARGA ELÉCTRICA
La Carga Eléctrica es aquella propiedad de determinadas partículas subatómicas que se produce cuando se relacionan unas con otras, esta interacción es electromagnética y se hace con las cargas positivas y negativas de la partícula. Cualquier elemento considerado materia tiene un conjunto de cargas, positivas, negativas y fraccionadas (Quarks), existe un movimiento de las partículas que contiene este elemento y genera a su vez un campo electromagnético que interactúa con su entorno, lo que lo rodea también tiene electromagnetismo por lo que la interacción entre campos es constante.
La Carga Eléctrica es una unidad del Sistema Internacional de Unidades, se define como: “La cantidad de carga que pasa por la sección transversal de un determinado conductor eléctrico durante el lapso de un segundo y cuando la corriente eléctrica es de un amperio.”
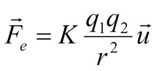
Existen dos tipos de cargas electricas, cargas positivas y cargas negativas, según la Ley de Coulomb, se establece que las cargas iguales se repelen, las cargas diferentes se atraen. Todo depende según la afirmación del físico que escribió la ley, de la sobre o por el cuerpo cargado de electricidad.
A través de la Ley de Coulomb se puede deducir el valor de las cargas, la fórmula es:
Formas Para Electrizar Un Cuerpo: Fricción, Contacto, Inducción, Efecto Fotoeléctrico, Electrolisis Y Efecto Termoeléctrico
Existen diversas formas para poder electrizar los cuerpos las mas resaltantes son:
1. Por fricción:
En la carga por fricción se transfieren electrones por la fricción del contacto de un material con el otro. Aun cuando los electrones más internos de un átomo están fuertemente unidos al núcleo, de carga opuesta, los más externos de muchos átomos están unidos muy débilmente y pueden desalojarse con facilidad. La fuerza que retiene a los electrones exteriores en el átomo varia de una sustancia a otra.
En la carga por fricción se transfieren electrones por la fricción del contacto de un material con el otro. Aun cuando los electrones más internos de un átomo están fuertemente unidos al núcleo, de carga opuesta, los más externos de muchos átomos están unidos muy débilmente y pueden desalojarse con facilidad. La fuerza que retiene a los electrones exteriores en el átomo varia de una sustancia a otra.
2. Por contacto:
Es posible transferir electrones de un material a otro por simple contacto. Por ejemplo, si se pone en contacto una varilla cargada con un cuerpo neutro, se transferirá la carga a este. Si el cuerpo es un buen conductor, la carga se dispersara hacia todas las partes de su superficie, debido a que las cargas del mismo tipo se repelen entre si. Si es un mal conductor, es posible que sea necesario hacer que la varilla toque varios puntos del cuerpo para obtener una distribución mas o menos uniforme de la carga.
3. Por inducción:
Podemos cargar un cuerpo por un procedimiento sencillo que comienza con el acercamiento a él de una varilla cargada.. Al acercarle la varilla cargada negativamente, los electrones de conducción que se encuentran el la superficie de la esfera emigran hacia el lado lejano de esta; como resultado, el lado lejano de las esfera se carga negativamente y el cercano queda con carga positiva. La esfera oscila acercándose a la varilla, porque la fuerza de atracción entre el lado cercano de aquella y la propia varilla es mayor que la de repulsión entre el lado lejano y la varilla. La carga por inducción no se restringe a los conductores, si no que se puede presentar en todos los materiales.
4. Por efecto fotoeléctrico:
Es un efecto de formación y liberación de partículas eléctrica mente cargadas que se produce en la materia cuando es irradiada con luz u otra radiación electromagnética. En el efecto fotoeléctrico externo se liberan electrones en la superficie de un conductor metálico al absorber energía de la luz que incide sobre dicha superficie. Este efecto se emplea en la célula fotoeléctrica, donde los electrones liberados por un polo de la célula, el foto cátodo, se mueven hacia el otro polo, el ánodo, bajo la influencia de un campo eléctrico.
5. Por electrolisis:
La mayoría de los compuestos inorgánicos y algunos de los orgánicos se ionizan al fundirse o cuando se disuelven en agua u otros líquidos; es decir, sus moléculas se disocian en especies químicas cargadas positiva y negativamente Si se coloca un par de electrodos en una disolución de un electrólito (compuesto ionizable) y se conecta una fuente de corriente continua entre ellos, los iones positivos de la disolución se mueven hacia el electrodo negativo y los iones negativos hacia el positivo. Al llegar a los electrodos, los iones pueden ganar o perder electrones y transformarse en átomos neutros o moléculas; la naturaleza de las reacciones del electrodo depende de la diferencia de potencial o voltaje aplicado.
6. Por efecto termoeléctrico:
Es la electricidad generada por la aplicación de calor a la unión de dos materiales diferentes. Si se unen por ambos extremos dos alambres de distinto material (este circuito se denomina termopar), y una de las uniones se mantiene a una temperatura superior a la otra, surge una diferencia de tensión que hace fluir una corriente eléctrica entre las uniones caliente y fría. Este fenómeno fue observado por primera vez en 1821 por el físico alemán Thomas Seebeck, y se conoce como efecto Seebeck.
MATERIALES CONDUCTORES
Un conductor es un material que, en mayor o menor medida, conduce el calor y la electricidad. Son buenos conductores los metales y malos, el vidrio, la madera, la lana y el aire.NOTA: Definimos la unidad de carga +1 como +1,6·10-19 culombios. Así un electrón tiene una carga -1 equivalente a -1,6·10-19 culombios.
El conductor más utilizado y el que ahora analizaremos es el Cobre (valencia 1), que es un buen conductor. Su estructura atómica la vemos en la siguiente figura..
En los materiales conductores se encuentran los metales, agua salada, etc
El nivel de Fermi en un semiconductor está situado de manera que está o lleno o vacío. Un sólido que no tiene bandas parcialmente rellenas es un aislante, pero a temperaturas finitas, los electrones pueden ser excitados térmicamente desde la banda de valencia hasta la siguiente más elevada, la banda de conducción que está vacía. La fracción de electrones excitada de esta manera depende de la temperatura y del salto entre bandas, que es la diferencia de energía entre las dos bandas. Al excitar estos electrones en la banda de conducción se dejan atrás huecos cargados positivamente en la banda de valencia, que también pueden conducir la electricidad.
En los semiconductores, las impurezas afectan amplia mente a la concentración y al tipo de los portadores de cargas. Las impurezas donantes (de tipo n) tienen electrones de valencia extra con energías muy cercanas a las de la banda de conducción que pueden ser fácilmente excitados térmica mente hacia la banda de conducción. La impurezas aceptaros (de tipo p) capturan electrones desde la banda de valencia, facilitando la formación de huecos. Si un aislante es dopado con suficientes impurezas, puede darse una transición de Mott y que el aislante pase a ser conductor.
Entre los materiales semiconductores se encuentran: el silicio, el germanio, se utilizan principalmente como elementos de los circuitos electrónicos.
Materiales aislantes
Los aislantes son materiales donde los electrones no pueden circular libremente, como por ejemplo la cerámica, el vidrio, plásticos en general, el papel, la madera, etc. Estos materiales no conducen la corriente eléctrica.
Entre los materiales semiconductores se encuentran: la cerámica, el vidrio, el plástico en general, el papel, la madera, etc.
UNIDADES DE MEDIDA DE LA CARGA ELÉCTRICA
El valor de la carga eléctrica de un cuerpo, representada como q o Q, se mide según el número de electrones que posea en exceso o en defecto.
En el Sistema Internacional de Unidades la unidad de carga eléctrica se denomina Culombio (símbolo C) y se define como la cantidad de carga que a la distancia de 1 metro ejerce sobre otra cantidad de carga igual, la fuerza de N.
Un culombio corresponde a 6,24 × electrones.
En consecuencia, la carga del electrón es:
- =
Como el culombio puede no ser manejable en algunas aplicaciones, por ser demasiado grande, se utilizan también sus submúltiplos:
- 1 miliculombio =
- 1 microculombio =











No hay comentarios:
Publicar un comentario